Entwicklungsfarbstoffe
Christian Adrian
Man kann die Bezeichnung "Entwicklungsfärben" auf alle Verfahren beziehen, welche die Färbung entstehen lassen (tinctogene Verfahren). Dazu gehören Beizenfärben, Küpenfärben und Zweikomponentenfärben. In der Literatur wird jedoch häufig nur die Erkupplung von Azofarbstoffen auf der Faser (Zweikomponenetenfärben) als Entwicklungsfärben genannt. Dieses Verfahren wird im Folgenden genauer beschrieben.
Entwicklungsfarben werden direkt auf der Faser erzeugt. Es handelt sich hierbei meist um Azofarbstoffe. Die zu färbende Faser wird zunächst mit der Kupplungskomponente getränkt ("geklotzt") und anschließend in ein eisgekühltes Bad mit Diazoniumsalzlösung gebracht, wo sich der Farbstoff entwickelt. Daher nennt man diese Farben auch "Eisfarben". Als Kupplungskomponente verwendet man häufig Naphtol - AS (2 - Naphtol- 3 - Carbonsäure). Der wasserunlösliche Farbstoff haftet durch Adsorbtion auf der Cellulosefaser.
Laska und Zitscher fanden 1913 heraus, dass Naphtol AS besser als das früher verwendete 2 - Naphtol auf Pflanzenfasern aufzieht. Solche Entwicklungsfarbstoffe (vor allem rote und violette Farben) rangieren in ihrer Echtheit gleich hinter den Küpenfarbstoffen und haben das früher so wichtige Alizarin fast vollständig verdrängt.
Versuch zu Entwicklungsfarbstoffen:
Chemikalien:
Sulfanilsäure; NaNO2; NaOH (verd.); Eis; HCl (verd.);ß - Naphthol; weißer Wollstreifen
Geräte: Zwei 200 - ml - Bechergläser; Thermometer
Durchführung: 1 Spatelspitze Sulfanilsäure wird in etwa 10 ml NaOH (verd.) gelöst. Dazu gibt man eine Lösung von 1 Spatelspitze NaNO2 in ca. 20 ml Wasser. Diese Mischung kühlt man mit Eis und gibt langsam etwa 20 ml HCl (verd.) zu, wobei die Temperatur der Lösung 5 Grad Celsius nicht übersteigen soll. In einem zweiten Becherglas löst man eine Spatelspitze ß - Naphthol in ca. 50 ml Wasser und gibt 10 ml NaOH (verd.) hinzu. In diese ß - Naphthollösung gibt man einen weißen Wollstreifen. Den getränkten Wollstreifen gibt man in die Diazoniumsalzlösung. Anschließend wäscht man die gefärbte Wolle unter fließendem Wasser aus.
Bei Temperatur größer 5Grad: Phenolverkochung
|  |  | |
|  |  | 
Beobachtung:
Die in den beiden Bechergläsern hergestellten Lösungen sind farblos. Gibt man jedoch den getränkten Wollstreifen in die Diazoniumsalzlösung so färbt sich dieser orange. Auch die Lösung färbt sich orange.
Auswertung:
Die beiden Komponenetn reagieren zu einem Azofarbstoff, demß - Naphtholorange dessen Absorptionsmaximum bei 484 nm (blaues Licht) liegt. Dadurch sehen wir die Orange .
Gleichungen: Herstellung des Nitrosylkations:
NaNO2 + HCl  NaCl + HNO2
NaCl + HNO2
HNO2 + H3O
+Nitrosylkation
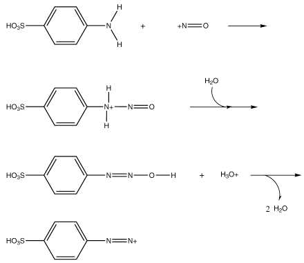
Diazotierung:
|  |  |  |  | |
|  |  | |||
|  | Diazonium - Salz | |||
Entstehung des Farbstoffes auf der Faser
|  |  |  |  |  |  |  |  | |
|  | ||||||||
|  |  | |||||||
|  | Diazonium - Salz | Naphthol - AS | ||||||
|  |  | |||||||
|  | ß - Naphtholorange | |||||||
Verwendung: